Le 24 Novembre 2021, des collègues de Mathématiques de 9 lycées du Béarn s'étaient retrouvés pour échanger autour de questions d'enseignement (le calcul : un fil rouge (douloureux?) du lycée aux classes préparatoires ; la rédaction mathématique : quelles transitions - attentes du secondaire au supérieur ? ; la programmation : une occasion de mieux définir et comprendre les objets mathématiques ?). Ci-dessus et ci-dessous, vous trouverez des photographies de l'évènement.
C'est une initiative que le Laboratoire de Mathématiques du Lycée Louis Barthou (LMB) souhaite reconduire cette année encore, début 2023, sous une forme davantage resserrée, autour d'un thème épineux à aborder et à enseigner : le dénombrement et les probabilités. La combinatoire a fait son retour dans les programmes de terminale et la notion de variable aléatoire et d'indépendance s'est étoffée. Il faut le reconnaître, au regard de l'algèbre et de l'analyse par exemple, ces parties délicates ne sont pas toujours celles qu'il nous a été donné d'approfondir le plus au cours de notre formation initiale. Bref, les problèmes de dénombrement et de probabilités soulèvent des défis à la fois mathématiques et didactiques très vifs.
Trois collègues de CPGE du Lycée Louis Barthou (Marie-Ève Modolo, François Pantigny et Jean Rochet), intéressés à ces questions, nous ont proposé spontanément de cheminer avec eux autour d'ateliers traitant du thème. Ils ont accepté que leur auditoire soit élargi à tous les professeurs de mathématiques des Lycées béarnais qui souhaiteraient y participer. Nous serions donc très heureux de vous accueillir,
Le Mercredi 4 Janvier 2023 de 14h à 17h au Lycée Louis Barthou (Pau)
 Dénombrement et probabilités : regards croisés
 pour participer à trois ateliers successifs, dont les thèmes d’étude sont les suivants :
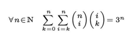
Atelier n°1 (animé par Marie-Ève Modolo) : Méthode du double-comptage
Aperçu : Quand les mathématiciens décryptent les formules pour raconter une belle histoire, il devient évident que :
Ensemble, essayons d'entendre les formules qui nous parlent.
Atelier n°2 (animé par François Pantigny) : Didactique de l'enseignement des probabilités par dénombrement
Aperçu : Cet atelier s'intéresse aux problèmes de rédaction et de vocabulaire dans les questions de probabilités fondées sur le dénombrement (par opposition aux probabilités totales). On abordera aussi la question de la représentation des éventualités par tel ou tel objet mathématique : le choix n'est en effet pas toujours univoque et l'élève ne se rend pas toujours compte qu'il y a plusieurs manières correctes de répondre à la question qui lui est posée.
Atelier n°3 (animé par Jean Rochet) : Indépendance et corrélation
Aperçu : L'objectif de cet atelier sera de mieux comprendre la notion d'indépendance souvent mal comprise et/ou mal interprétée par les élèves à travers des exemples simples et des analogies avec d'autres domaines des mathématiques. On abordera aussi la notion de corrélation (souvent confondue à tort avec la notion de causalité) présente dans le programme de mathématiques complémentaires.
Merci beaucoup, si vous êtes intéressé(e), de vous manifester avant le 18/11/2022, par un simple mail à olivier.delord@ac-bordeaux.fr. Il devrait être possible cette année d’éditer des ordres de mission (avec remboursement des frais de déplacement) et que la demi-journée soit officialisée par la DAFPEN.
Olivier Delord,
 Coordonnateur du Laboratoire de Mathématiques du Lycée Louis Barthou






